English
中国农科院微信公众号
农科专家在线微信公众号
MENU
当前位置: 首页» 新闻中心» 要  闻

蜜蜂所发现噻虫嗪可削弱中华蜜蜂的归巢能力

【字体:

  近日,中国农业科学院蜜蜂研究所传粉蜂生物学与授粉应用团队研究发现,噻虫嗪农药可影响中华蜜蜂的归巢、飞行、学习和记忆能力。该研究将对中华蜜蜂保护策略的制定和噻虫嗪农药的使用提供一定的科学依据。相关研究成果在线发表在《害虫管理科学(Pest management science)》上。

  中华蜜蜂是我国最重要的一类传粉昆虫,对维持我国生态系统多样性起着至关重要的作用。然而近年来,由于化学农药的使用、气候的变迁、病毒和细菌的侵染、蜜粉源植物的缺失等对蜜蜂这类授粉昆虫的健康构成了严重的威胁。在这些因素中,农药尤其是新烟碱农药的使用,被认为是一个主要因素。

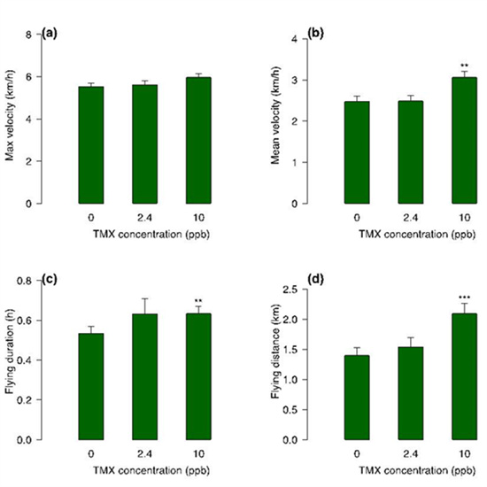
  该研究探究了田间实际残留水平下,噻虫嗪农药对中华蜜蜂的归巢、飞行、学习和记忆能力的影响。研究发现,虽然10 ppb的噻虫嗪并没有引起中华蜜蜂归巢率的下降,但显著延长了其归巢时间;进一步的飞行能力测试表明,其飞行能力没有减弱,但学习记忆能力在药后得到显著下降。同样的,2.4 ppb的噻虫嗪也降低了中华蜜蜂的学习记忆能力。这可能是中华蜜蜂接触噻虫嗪农药后飞行速度增加而归巢时间变长的原因。上述研究表明,学习记忆能力的下降可能是引起中华蜜蜂归巢能力下降的一个重要原因。

  该研究得到了中国农科院院级基本业务费、科技创新工程和国家自然科学基金项目的资助。(通讯员 谢文闻)

  原文链接:https://onlinelibrary.wiley.com/doi/pdf/10.1002/ps.5411

 

TOP