Heat waves occurred in different life-stages contribute differently in survival and reproduction of a global pest, the diamondback moth
Global climate change will not only lead to a substantial increase in average temperature but also in the frequency and duration of hot events. Ambient temperatures often fluctuate with hot days in summer, and organisms with relatively short generation times might experience such hot days at certain developmental stages. Because of inter-annual variation in the timing and duration of hot days, heat events may affect a single or multiple life-stages and exposed stages are varies among years. This raises the question of how the timing and duration of such hot days during the life cycle affect survival and reproduction of organisms. Recently, Prof. Chun-Sen Ma and his colleagues in State Key Laboratory for Biology of Plant Diseases and Insect Pests, Institute of Plant Protection, CAAS, simulated heat waves with climate chambers and investigated how the variation in the timing and duration of hot events during different life stages affected immediate and subsequent demographic rates such as survival and reproduction of a global insect pest, Plutella xylostella.
The timing and duration of hot events is likely to have important impacts on population size due to stage specific effects on survival and reproduction. They found hot events occurred at different life-stages caused different demographic performances through immediate and subsequent effects. Elder instar larvae often survive better than early instar larvae or other stages under extreme high temperatures. Impacts of hot events during early life stages could be carried over to later stages, and it is reflected in lower subsequent survivals. Interestingly, they found that imposing heat stress on stages closer to adulthood reduced more reproduction. Even a single hot day with few hours at extreme high temperature during adult stage can also substantially decrease egg hatching success of their offspring (ca. 20%), although this level of heat stress has no detrimental effects on immediate mortality, mating success and adult life span. When hot events persist to multiple life stages, the combined effects of heat at different life-stages are not always additive and not independent of each other. Thus, adults that experience different temporal patterns of hot periods (i.e. changes in timing and duration) during their life-cycle often had different demographic rates and reproductive patterns. These findings are currently published on PLoS ONE, Scientific Reports and Oecologia.
To date, most experimental studies on climate change investigate how increase in mean temperature affects organisms’ immediate performances only for one life stage or for one generation. However, climate change will also alter the frequency of heat events and when they occur. Studies by Prof. Chun-Sen Ma’s group indicate that heat events during early life stages could also to alter the subsequent survival and adult reproduction. Thus these findings should be incorporated in prediction of natural populations in the future. Stage specific heat effects and interdependent effects between stages both suggest that we need to determine when heat events are likely to occur and how long they last to identify what life-stages (or age structure) will be affected. Importantly, even a single hot day with extreme high temperatures for few hours on adult stage could lead to a substantial reduction in offspring hatched eggs. All these findings emphasize the importance of incorporating the temporal patterns of heat events to describe the dynamics of natural populations and how they will respond to future climate change.

Figure 1 Relationship between egg production and exposure time at 40°C of each development stage treatment. Linear regression lines and R2 values are included in (a)-(e). (f) Comparison of the slopes of regression lines from the different stage treatments (Adapted from Scientific Reports: 5: 10436)

Figure 2 Experimental design showing the stage specific temperature treatments. The 2×2×2 factorial design independently manipulated the temperature (25oC vs. 30oC) during the larval, pupal, or adult stages within a life-cycle of P. xylostella (Adapted from Oecologia: DOI: 10.1007/s00442-015-3409-0)

Figure 3 Lifetime fecundity by different larval and pupal temperature treatments. Lifetime fecundity of adults exposed at (a) 25°C or (b) 30°C involved combinations of larval temperature (LT) and pupal temperature (PT). The black and white horizontal lines within the boxes represent medians and means respectively. Different lowercase letters indicated the significant differences between four treatments (P< 0.05) (Adapted from Oecologia: DOI: 10.1007/s00442-015-3409-0)

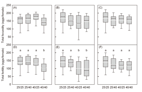
Figure 4 Box plots for total fecundity and fertility after adults heat stress. (A-C) refers to total fecundity and (D-E) to fertility per female. Treatments involved combinations of females and males exposed to control (25°C) or stress (40°C) for different exposure times of 3 h (A, D), 4 h (B, E) or 5 h (C, F). Different lowercase letters indicate significant differences between four treatment groups (Adapted from PLoS ONE: 8: e75923)
Zhang W, Chang XQ, Hoffmann A, Zhang S*, Ma CS*. 2015. Impact of hot events at different developmental stages of a moth: the closer to adult stage, the less reproductive output. Scientific Reports, 5: 10436.
link to the article:
http://www.nature.com/articles/srep10436
Zhang W, Rudolf V, Ma CS*. 2015. Stage-specific heat effects: Timing and duration of heat waves alter demographic rates of a global insect pest. Oecologia, DOI: 0.1007/s00442-015-3409-0
Zhang W, Zhao F, Hoffmann AA, Ma CS*. 2013. A single hot event that does not affect survival but decreases reproduction in the diamondback moth, Plutella xylostella. PLoS ONE, 8(10): e75923.
link to the article: http://journals.plos.org/plosone/article?id=10.1371/journal.pone.0075923
-
Mar 21, 2025Experts from IPPCAAS Implement FAO-China South-South Cooperation Project to Advance Sustainable Fall Armyworm Management in Ghana
-
Mar 13, 2025CAAS and CGIAR Deepen Strategic Cooperation
-
Mar 11, 2025Call for Logo Design Proposals for the China-Africa Agricultural Science and Technology Innovation Alliance (CAASTIA)
-
Jan 21, 2025IAED-CAAS Delegation Visits Thailand for Scientific Cooperation
-
Dec 05, 2024China-CABI Project Development Workshop Held in Delémont, Switzerland